반응형

피보나치 수는 첫째 및 둘째 항이 1이며, 그 뒤의 모든 항은 바로 앞 두 항의 합인 수열로 정의되어 있습니다.

경우에 따라 0번째 항의 값을 0으로 정의하기도 합니다.

 

피보나치 수를 0번째부터 시작하여 20개를 나열하면 다음과 같습니다.

 

피보나치 수에 대해서 자세한 내용을 알고 싶으신 분은 아래 링크를 참고하시기 바랍니다.

https://en.wikipedia.org/wiki/Fibonacci_sequence#Primes_and_divisibility

 

Fibonacci sequence - Wikipedia

From Wikipedia, the free encyclopedia Numbers obtained by adding the two previous ones A tiling with squares whose side lengths are successive Fibonacci numbers: 1, 1, 2, 3, 5, 8, 13 and 21 In mathematics, the Fibonacci sequence is a sequence in which each

en.wikipedia.org

한글 위키 페이지도 있으나.. 내용이 조금 부실한 편이라 영문 위키 페이지를 링크로 달았습니다.

 

Recursion 을 이용한 풀이

위의 정의대로 Python을 이용해서 구현해 보면, 대략 다음과 같은 코드로 구현이 가능합니다.

def fibo(n):
    if n < 1:
        return 0
    elif n < 3:
        return 1
    return fibo(n-1) + fibo(n-2)

fibo(19)를 출력해보면, 4181이 나오는 것을 확인할 수 있습니다.

 

 

Memoization 을 이용한 성능 개선

Recursion 을 이용하여 구현한 코드는 중복된 계산이 많아서 퍼포먼스에 문제가 있습니다. 

 

fibo(5) 를 구하기 위해서 fibo(4) + fibo(3) 이 호출되고,

fibo(4) 를 구하기 위해서 다시 fibo(3) + fibo(2) 가 호출되고..

 

같은 계산을 여러 번 중복하는 것을 기록해 두어 성능을 개선해 보겠습니다. 아래 코드는 memoization 을 이용하여 성능을 개선한 코드입니다.

mCache = {}
mCache[1] = 1
mCache[2] = 1

def fibo_memo(n):
    if n in mCache:
        return mCache[n]
    elif n < 1:
        return 0
    ret = fibo_memo(n-1) + fibo_memo(n-2)
    mCache[n] = ret
    return ret

 

한 번 계산을 했던 값은 mCache에 값을 기록해 두어, 중복 계산을 피해서 퍼포먼스를 향상시켰습니다.

 

 

Dynamic Programming 을 이용한 풀이

이번에는 테이블을 생성해서 값을 채워가는 방식으로 피보나치 값을 계산해 보겠습니다.

def fibo_dp(n): 
    if n < 1:
        return 0
    
    buf = [0] * (n+1)
    buf[1] = 1
    for i in range(2, n+1):
        buf[i] = buf[i-1] + buf[i-2]
    return buf[n]

 

피보나치 수열의 정의대로 순차적으로 계산해서 마지막 값을 돌려줍니다. 

 

 

Dynamic Programming 개선

위에서 살펴본 Dynamic Programming에서는 테이블을 이용하였기 때문에, n+1 만큼의 메모리를 할당해서 값을 구하였습니다. 하지만 실제로는 이전의 계산 결과는 더 이상 쓰이지 않기 때문에, 이전값, 현재값을 가지고 있는 것으로 충분합니다. 위의 코드는 아래와 같이 개선이 가능합니다.

def fibo_dp2(n): 
    if n < 1:
        return 0
    
    prev = 0
    current = 1
    for i in range(1, n):
        prev, current = current, prev + current
    return current

 

 

Matrix를 이용한 풀이

마지막으로 matrix를 이용하여 피보나치 값을 구해 보도록 하겠습니다.

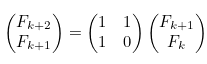
피보나치 수열은 행렬을 이용하면 다음과 같이 정의가 가능합니다.

위의 행렬을 두 개 붙여서 확장하면, 다음과 같은 식을 얻을 수 있습니다.

F0 ~ F2에 값을 대입해서, 식을 정리해 보면 다음과 같습니다. 

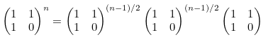
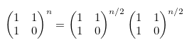
즉, Fn 을 구하기 위해서는 아래 행렬의 (0,0) 값을 계산하면 됩니다.

행렬식의 계산은 다음과 같이 처리합니다.

1) 지수가 짝수인 경우,

2) 지수가 홀수인 경우,

 

위의 내용을 코드로 구현하면 다음과 같습니다.

def calc_matrix(m1, m2):
    e00 = m1[0][0] * m2[0][0] + m1[0][1] * m2[1][0]
    e01 = m1[0][0] * m2[0][1] + m1[0][1] * m2[1][1]
    e10 = m1[1][0] * m2[0][0] + m1[1][1] * m2[1][0]
    e11 = m1[1][0] * m2[0][1] + m1[1][1] * m2[1][1]
    return [[e00, e01], [e10, e11]]

mBase = [[1, 1], [1, 0]]    
def power(m, n):
    if n <= 1:
        return mBase
    ret = power(m, n//2)
    ret = calc_matrix(ret, ret)
    if n % 2 == 1:
        ret = calc_matrix(ret, mBase)
    return ret

def fibo_mat(n):
    if n < 1:
        return 0
    m = power(mBase, n-1)
    return m[0][0]

지수 형태로 구현하였기 때문에, 시간 복잡도는 O(logN) 이 됩니다.

 

 

퍼포먼스 비교

각 방법에 대해서 F1000 을 구했을 때 걸리는 시간을 측정한 결과입니다.

recursion 의 경우, 시스템에 따라 다를 수 있지만 일정 갯수 이상이 되면, maximum recursion depth exceeded 에러가 발생합니다. 

 

recursion 을 제외한 나머지에 대해서, F10000을 구했을 때 걸리는 시간을 측정한 결과 입니다.

 

반응형
반응형

파티션 문제는 list 의 원소들을 합이 같은 두 개의 부분 집합으로 나눌 수 있지를 확인하는 문제입니다.

 

 

Example

예를 들어 아래와 같은 리스트가 있다면,

[1, 5, 11, 5]

 

리스트를 아래와 같이 나누게 되면, 두 리스트의 합이 11로 같기 때문에, 결과는 True가 됩니다.

[1, 5, 5], [11]

 

 

Recursion 을 이용한 풀이

Recursion 을 이용할 때는, subset에 대한 합계를 체크하는 method를 정의해서 subset 합계가 전체 원소의 합의 절반이 되면 True를 리턴하게 작성합니다.

 

def isSubsetSum(arr, n, target):
	# Termination Cases
	if target == 0:
		return True
	if n == 0 and target != 0:
		return False
    # exclude last element or include last element
	return isSubsetSum(arr, n-1, target) or isSubsetSum(arr, n-1, target-arr[n-1])


def findPartition(arr):
	total = sum(arr)
	if total % 2 != 0:
		return False
	return isSubsetSum(arr, len(arr), total // 2)
    

assert(findPartition([1,2,3,4,5]) == False)
assert(findPartition([1,5,11,5]) == True)
assert(findPartition([1,2,3,4,4,3,2,1]) == True)

 

이 경우, 시간 복잡도는 O(2^N) 이 되며, 공간 복잡도는 O(N) 이 됩니다.

 

 

Recursion 을 이용한 풀이 2 - memoization

Recursion 을 이용할 때는, subset sum 을 확인하는 과정에서 반복되는 계산이 나오기 때문에, 이를 기록해 두고 사용하면 반복 계산을 크게 줄일 수 있습니다. memoization 기법을 사용하여 개선한 코드는 다음과 같습니다.

 

def isSubsetSum(arr, n, target, dp):
	# Termination Cases
	if target == 0:
		return True
	if n == 0 and target != 0:
		return False
	
    # send result from memo
	if dp[n][target] != -1:
	    return dp[n][target]

    # save result
	dp[n][target] = isSubsetSum(arr, n-1, target, dp) or isSubsetSum(arr, n-1, target-arr[n-1], dp)
    
    # return result
	return dp[n][target]


def findPartition(arr):
	total = sum(arr)
	if total % 2 != 0:
		return False

	n = len(arr)
    # init memoization result
	dp = [[-1]*(total+1) for i in range(n+1)]
	return isSubsetSum(arr, n, total // 2, dp)


assert(findPartition([1,2,3,4,5]) == False)
assert(findPartition([1,5,11,5]) == True)
assert(findPartition([1,2,3,4,4,3,2,1]) == True)

 

여기서는 테스트한 list의 아이템이 많지 않아서, Recursion 보다도 느린 결과가 나올 수 있지만, 원소가 증가할 수록 큰 성능 향상을 확인할 수 있을 것입니다.

 

Dynamic Programming 을 이용한 풀이

이번에는 합계 / 원소 테이블을 생성해서, 테이블의 값을 채워가는 방식으로 문제를 해결해 보도록 하겠습니다. 이 방식의 아이디어는 다음과 같습니다.

 

1. row에는 부분집합의 합계를, column에는 리스트의 원소를 하나씩 추가할 수 있게 테이블을 준비합니다.

[1, 3, 7, 3] 의 케이스를 예를 들면, 

전체 원소의 합은 14 (1 + 3 + 7 + 3)  이기 때문에, 원소들의 합이 같게 나눴을 때, 부분 집합의 원소의 합은 7이 되어야 합니다. (전체 원소 합의 절반) 그러면, 테이블은 아래와 같이 준비 됩니다.

  [] [1] [1, 3] [1, 3, 7] [1, 3, 7, 3]
0          
1          
2          
3          
4          
5          
6          
7          

 

2. 부분 집합의 합계가 0이라는 것은, 부분 집합이 공집합이면 언제나 가능하기 때문에 어떤 부분 집합의 부분 집합에 대해서도 합계 0을 만들 수가 있습니다. 그래서 첫 번째 줄은 모두 가능하기 때문에 True로 채웁니다.

  [] [1] [1, 3] [1, 3, 7] [1, 3, 7, 3]
0 True True True True True
1          
2          
3          
4          
5          
6          
7          

 

3. 반대로, 원소가 없는 부분집합에 대해서는 원소의 합계는 항상 0이기 때문에 합계가 0보다 큰 경우는 만드는 것이 불가능합니다. 따라서 첫 번째 컬럼은 False로 채웁니다.

  [] [1] [1, 3] [1, 3, 7] [1, 3, 7, 3]
0 True True True True True
1 False        
2 False        
3 False        
4 False        
5 False        
6 False        
7 False        

 

4. 이제부터는 주어진 합계에 대해서, 원소를 채워가면서, 주어진 합계를 부분 집합의 합으로 만들 수 있는지를 체크합니다. 체크하는 방법은 마지막에 추가한 원소를 제외하고, 주어진 합계에서 해당 원소의 값을 뺀 경우에 대해서 부분 집합의 합을 만들 수 있는지를 체크하면 됩니다.

 

4-1. 먼저 부분 집합 [1] 의 부분 집합으로 합계 1을 만들 수 있는 지를 체크해 보겠습니다. 

마지막에 추가한 원소는 "1" 이기 때문에, 해당 원소를 제거하고, 합계에서도 1을 뺍니다.

그러면, 부분 집합 []의 부분 집합으로 합계 0을 만들 수 있는 지를 체크해서, 그게 가능하면 부분 집합 [1]의 부분집합으로 합계 1을 만들 수 있는 지 알 수 있습니다. 우리는 이미 부분 집합 [] / 합계 0에 대해서 True로 채워 두었기 때문에 가능 하다는 것을 알 수 있습니다. 

 

  [] [1] [1, 3] [1, 3, 7] [1, 3, 7, 3]
0 True True True True True
1 False True      
2 False        
3 False        
4 False        
5 False        
6 False        
7 False        

 

4-2. 이번에는 부분 집합 [1, 3]의 부분 집합으로 합계 1을 만들 수 있는 지를 체크해 보겠습니다.

우리는 이미 부분 집합 [1]의 부분 집합으로 합계 1을 만들 수 있다는 것을 알고 있습니다. 그렇다면 [1]은 [1, 3]의 부분 집합이기 때문에, [1, 3]의 부분집합으로도 부분 집합의 합계 1을 만들 수 있습니다.

 

  [] [1] [1, 3] [1, 3, 7] [1, 3, 7, 3]
0 True True True True True
1 False True True    
2 False        
3 False        
4 False        
5 False        
6 False        
7 False        

 

5. 4번의 방법을 이용해서 테이블을 모두 채우면 아래와 같이 됩니다.

  [] [1] [1, 3] [1, 3, 7] [1, 3, 7, 3]
0 True True True True True
1 False True True True True
2 False False False False False
3 False False True True True
4 False False True True True
5 False False False False False
6 False False False False True
7 False False False True True

 

6. 원래 우리가 찾던 답이 [1, 3, 7, 3]의 부분 집합 중에 합이 7인 것이 있는 지를 찾는 것이 었기 때문에, 위의 테이블의 가장 오른쪽 아래의 값을 읽어서 돌려주면 됩니다.

 

설명은 길었지만, 코드는 기존의 recursion 보다 짧습니다.

def findPartition(arr):
	total = sum(arr)
	if total % 2 != 0:
		return False
	
	half_sum = total // 2
	n = len(arr)
	
	# table setting
	dp = [[True]*(n+1)] + ([[False]*(n+1)] * half_sum)

    # fill the table
	for i in range(1, half_sum+1):
	    for j in range(1, n+1):
	        if dp[i][j-1]:
	            dp[i][j] = True
	            continue
	        val = arr[j-1]
	        if i >= j and dp[i-val][j-1]:
	            dp[i][j] = True
	            
    # return result
	return dp[half_sum][n]


assert(findPartition([1,2,3,4,5]) == False)
assert(findPartition([1,5,11,5]) == True)
assert(findPartition([1,2,3,4,4,3,2,1]) == True)

 

 

Dynamic Programming 공간 최적화

마지막으로 바로 전에 사용한 Dynamic Programming을 최적화 해보도록 하겠습니다. 위의 테이블을 잘 살펴보면, 실제로는 전체 테이블이 없어도 한 컬럼만 가지고 정보를 업데이트하면서 사용이 가능합니다. 다만 이전 단계의 결과를 체크하기 위해서는 top-down 방식이 아닌 bottom-up 방식으로 리스트를 채워가야 합니다.

 

1. 먼저 전체 리스트 원소의 합계의 절반 크기의 리스트를 생성합니다. 인덱스는 부분 집합의 합계를 나타내기 때문에, 0은 True로 세팅하고 나머지는 False로 세팅합니다.

  0 1 2 3 4 5 6 7
Initial True False False False False False False False

 

2. 이번에는 원소를 하나씩 추가해가며, 합계를 제일 큰 수부터 순차적으로 체크해서 리스트를 업데이트 해줍니다.

체크는 다음과 같이 할 수 있습니다.

2-1. 해당 합계를 이미 만들 수 있다면 continue (dp[j] = True 인 경우)

2-2. 해당 합계에서 추가한 원소의 값을 뺀 값을 부분 집합의 합으로 만들 수 있는지를 체크해서 True인 경우, 해당 합계를 True로 업데이트 (dp[j - val] = True 인 경우)

 

ex)

첫번째 원소 1 추가

합계 7에서부터 역순으로 합계 0까지 체크

 

합계 7의 경우 현재 False 이기 때문에,  dp[7-1] 에 있는 값을 체크

    => 현재 dp[6] = False 이기 때문에 업데이트를 하지 않고 진행

 

...

 

합계 1의 경우 현재 False 이기 때문에, dp[1-1]에 있는 값을 체크

    => 현재 dp[0] = True 이기 때문에 dp[1] = True로 업데이트

 

합계 0의 경우 이미 True 이기 때문에 continue

 

  0 1 2 3 4 5 6 7
[1] True True False False False False False False

 

3. 순차적으로 원소를 추가하며 테이블을 업데이트 해주면.. 아래와 같이 업데이트 됩니다.

  0 1 2 3 4 5 6 7
[1, 3] True True False True True False False False

 

  0 1 2 3 4 5 6 7
[1, 3, 7] True True False True True False False True

 

  0 1 2 3 4 5 6 7
[1, 3, 7, 3] True True False True True False True True

 

 

4. 리스트의 마지막 값인 dp[7] 을 읽어서 돌려 줍니다.

 

 

코드로 구현하면 다음과 같습니다.

def findPartition(arr):
	total = sum(arr)
	if total % 2 != 0:
		return False
	
	half_sum = total // 2
	n = len(arr)
	
	# init list
	dp = dp = [True] + [False] * half_sum
	
	# update list
	for i in range(n):
	    val = arr[i]
	    for j in range(half_sum, val-1, -1):
            if dp[j]:
                continue
	        if dp[j-val] == True:
	            dp[j] = True

    # return result
	return dp[half_sum]


assert(findPartition([1,2,3,4,5]) == False)
assert(findPartition([1,5,11,5]) == True)
assert(findPartition([1,2,3,4,4,3,2,1]) == True)

 

실제로, 위의 코드에서 dp[half_sum] = True 가 되는 순간, 더 이상 for 문을 수행할 필요 없이 True를 돌려줘도 됩니다.

여기서는 이전 단계의 합계를 참조하기 위해서 bottom-up (가장 큰 합계를 먼저 체크) 하는 방식을 사용하였습니다. 

 

DP 에서는 어떤 방향으로 테이블 혹은 리스트를 채우냐에 따라 공간 복잡도를 더 작게 구현할 수 있습니다.

반응형

+ Recent posts